Planning the New Mars event for World Space Week (October 4-10th, 2005)
-
tahanson43206
- Site Admin
- Posts: 495
- Joined: Wed Apr 10, 2024 11:24 pm
- Location: Earth
-
Contact:
Post
by tahanson43206 »
This image shows a plot of thrust for the extendedMerlin model, from .6 (point 6) seconds through 6 seconds)

- Thrust from .6 seconds through 6 seconds
- thrust_over_time.png (32.54 KiB) Viewed 60 times
-
tahanson43206
- Site Admin
- Posts: 495
- Joined: Wed Apr 10, 2024 11:24 pm
- Location: Earth
-
Contact:
Post
by tahanson43206 »
This may be the last post for this topic. Microsoft may close the Virtual Machine where this forum is running.
(th)
-
tahanson43206
- Site Admin
- Posts: 495
- Joined: Wed Apr 10, 2024 11:24 pm
- Location: Earth
-
Contact:
Post
by tahanson43206 »
This image by GW Johnson shows details of a nozzle designed for use with hydrogen:

- 3 62 solar rocket nozzle.png (54.32 KiB) Viewed 75 times
-
tahanson43206
- Site Admin
- Posts: 495
- Joined: Wed Apr 10, 2024 11:24 pm
- Location: Earth
-
Contact:
Post
by tahanson43206 »
This image reflects GW Johnson study of heat tube physics:
20251110 heater tube redo.png
-
tahanson43206
- Site Admin
- Posts: 495
- Joined: Wed Apr 10, 2024 11:24 pm
- Location: Earth
-
Contact:
Post
by tahanson43206 »
This image reflects GW Johnson study of heat tube physics:

- 20251110 heater tube redo.png (36.16 KiB) Viewed 76 times
-
tahanson43206
- Site Admin
- Posts: 495
- Joined: Wed Apr 10, 2024 11:24 pm
- Location: Earth
-
Contact:
Post
by tahanson43206 »
This image provides principles of Rocket design:

- simple nozzle design.png (30.18 KiB) Viewed 79 times
-
tahanson43206
- Site Admin
- Posts: 495
- Joined: Wed Apr 10, 2024 11:24 pm
- Location: Earth
-
Contact:
Post
by tahanson43206 »
This drawing shows a possible arrangement of heating tubes for the Optical Plane engine

- 20251109FlatIntakeModel.png (50.17 KiB) Viewed 82 times
-
tahanson43206
- Site Admin
- Posts: 495
- Joined: Wed Apr 10, 2024 11:24 pm
- Location: Earth
-
Contact:
Post
by tahanson43206 »
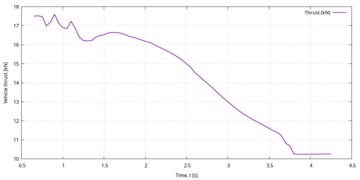
These images are output from a run of extendedMerlin to 4.25 seconds. We can see that thrust is steady at just over 1 ton-force
Plot:

- thrust_over_time.png (35.9 KiB) Viewed 83 times
Engine Pressure:

- 20251108EngineAt4.25Pressure.png (26.51 KiB) Viewed 83 times
Engine Temperature:

- 20251108EngineAt4.25Temperature.png (56.28 KiB) Viewed 83 times
Engine Velocity:

- 20251108EngineAt4.25Velocity.png (98.18 KiB) Viewed 83 times
Intake Pressure:

- 20251108IntakeAt4.25Pressure.png (11.14 KiB) Viewed 83 times
Intake Temperature;

- 20251108IntakeAt4.25Temperature.png (10.38 KiB) Viewed 83 times
Intake Velocity:

- 20251108IntakeAt4.25Velocity.png (12.01 KiB) Viewed 83 times