Images for FluxBB

Planning the New Mars event for World Space Week (October 4-10th, 2005)
tahanson43206
Site Admin
Posts: 598
Joined: Wed Apr 10, 2024 11:24 pm
Location: Earth
Contact:

Re: Images for FluxBB: extendedMerlin at 4 seconds

Post by tahanson43206 »

These are results of the extendedMerlin run through 4 seconds.

Plot of thrust
thrust_over_time.png
thrust_over_time.png (35.78 KiB) Viewed 247 times
Engine pressure
20251106EngineAt4-Pressure.png
20251106EngineAt4-Pressure.png (26.47 KiB) Viewed 247 times
Engine Temperature
20251106EngineAt4-Temperature.png
20251106EngineAt4-Temperature.png (56.11 KiB) Viewed 247 times
Engine Velocity
20251106EngineAt4-Velocity.png
20251106EngineAt4-Velocity.png (98.3 KiB) Viewed 247 times
Intake pressure
20251106IntakeAt4SecondsPressure.png
20251106IntakeAt4SecondsPressure.png (11.18 KiB) Viewed 246 times
Intake Temperature
20251106IntakeAt4SecondsTemperature.png
20251106IntakeAt4SecondsTemperature.png (10.2 KiB) Viewed 246 times
Intake Velocity
20251106IntakeAt4SecondsVelocity.png
20251106IntakeAt4SecondsVelocity.png (11.86 KiB) Viewed 246 times
tahanson43206
Site Admin
Posts: 598
Joined: Wed Apr 10, 2024 11:24 pm
Location: Earth
Contact:

Re: Images for FluxBB: Status at 3.75 seconds

Post by tahanson43206 »

These images show the status of the extendedMerlin engine at 3.75 seconds
Velocity
Velocity
20251106VelocityAt3-75Seconds.png (96.54 KiB) Viewed 246 times
Temperature
Temperature
20251106TemperatureAt3-75Seconds.png (75.28 KiB) Viewed 246 times
Pressure
Pressure
20251106Pressureat3-75Seconds.png (25.33 KiB) Viewed 246 times
Velocity
Velocity
20251106IntakeVelocityAt3-75Seconds.png (11.83 KiB) Viewed 246 times
Temperature
Temperature
20251106IntakeTemperatureAt3-75Seconds.png (10.25 KiB) Viewed 246 times
Pressure
Pressure
20251106IntakePressureAt3-75Seconds.png (11.14 KiB) Viewed 246 times
tahanson43206
Site Admin
Posts: 598
Joined: Wed Apr 10, 2024 11:24 pm
Location: Earth
Contact:

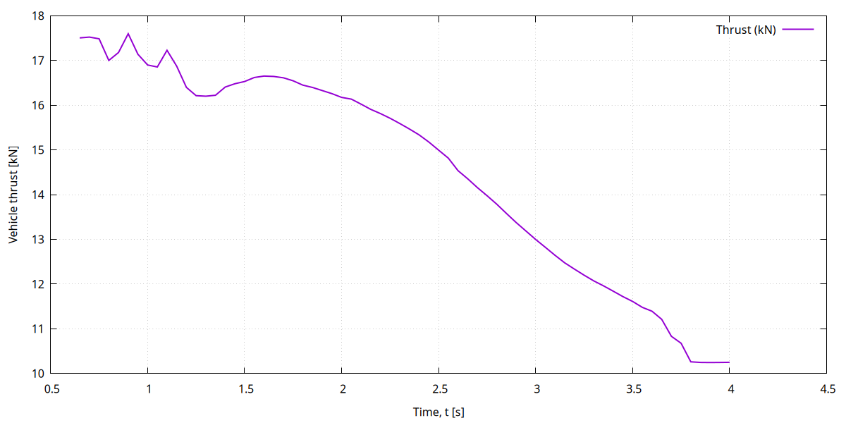
Re: Images for FluxBB: Full thrust series

Post by tahanson43206 »

This image shows thrust over the entire run from .64 through 3.75 seconds.
The plot seems to show gas escaping from the system due to heating at start up.
We are still waiting to see where the thrust will level off as new hydrogen arrives.
thrust_over_time.png
thrust_over_time.png (35.38 KiB) Viewed 240 times
tahanson43206
Site Admin
Posts: 598
Joined: Wed Apr 10, 2024 11:24 pm
Location: Earth
Contact:

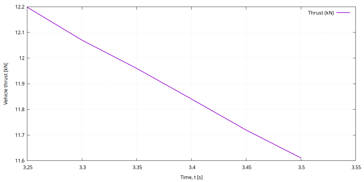
Re: Images for FluxBB: Plot thrust 3-25 to 3-50 Seconds

Post by tahanson43206 »

Plot of thrust from 3.25 seconds to 3.5 seconds...

Looking for leveling off but it is not yet
thrust_over_time.png
thrust_over_time.png (33.06 KiB) Viewed 239 times
tahanson43206
Site Admin
Posts: 598
Joined: Wed Apr 10, 2024 11:24 pm
Location: Earth
Contact:

Re: Images for FluxBB: GW Johnson Landing Moon etc

Post by tahanson43206 »

These images were prepared by GW Johnson:
rough field starship.png
rough field starship.png (93.13 KiB) Viewed 237 times
Rough Field Starship
roads to hold loads.png
roads to hold loads.png (32.86 KiB) Viewed 237 times
Roads to hold loads
blue ghost lander.jpg
blue ghost lander.jpg (117.65 KiB) Viewed 237 times
Blue Ghost Lander
tahanson43206
Site Admin
Posts: 598
Joined: Wed Apr 10, 2024 11:24 pm
Location: Earth
Contact:

Re: Images for FluxBB: Trendline for thrust extendedMerlin

Post by tahanson43206 »

This plot shows thrust from the extendedMerlin model over 3.25 seconds of simulated run time:
thrust_over_time.png
thrust_over_time.png (44.51 KiB) Viewed 237 times
tahanson43206
Site Admin
Posts: 598
Joined: Wed Apr 10, 2024 11:24 pm
Location: Earth
Contact:

Re: Images for FluxBB: Output of 3 second extendedMerlin

Post by tahanson43206 »

The six images at the links below show the status of the engine and the intake after 3 seconds of operation.

The model is extendedMerlin (using SpaceX original Merlin engine as the design anchor).
Flow rate is 2 kg/s after 2 seconds
Gas is hydrogen at 300 Kelvin
Power input is 40 MW but heat transfer is poor
Heat is on at the beginning of the run.

Intake showing pressure:
20251026IntakePressureAt3Seconds.png
20251026IntakePressureAt3Seconds.png (10.93 KiB) Viewed 239 times
Intake showing Temperature:
20251026IntakeTemperatureAt3Seconds.png
20251026IntakeTemperatureAt3Seconds.png (10.63 KiB) Viewed 239 times
Intake showing Velocity:
20251026IntakeVelocityAt3Seconds.png
20251026IntakeVelocityAt3Seconds.png (11.93 KiB) Viewed 239 times
Engine showing pressure:
20251026EnginePressureAt3seconds.png
20251026EnginePressureAt3seconds.png (20.69 KiB) Viewed 239 times
Engine showing Temperature:
20251026EngineTemperatureAt3Seconds.png
20251026EngineTemperatureAt3Seconds.png (45.31 KiB) Viewed 239 times
Engine showing Velocity:
20251026EngineVelocityAt3Seconds.png
20251026EngineVelocityAt3Seconds.png (71.16 KiB) Viewed 239 times
(th)
kbd512
Posts: 2
Joined: Sat Nov 23, 2024 12:29 am

Re: Images for FluxBB

Post by kbd512 »

Test
LC-Lot-9827-1.jpg
LC-Lot-9827-1.jpg (230.44 KiB) Viewed 370 times
tahanson43206
Site Admin
Posts: 598
Joined: Wed Apr 10, 2024 11:24 pm
Location: Earth
Contact:

Re: Images for FluxBB: Output of Run 1 to 1.25 seconds

Post by tahanson43206 »

These images show the status of the extendedModel after a short run of 9 hours from 1 second to 1.25 seconds

Engine Pressure
20251020EnginePressure.png
20251020EnginePressure.png (16.99 KiB) Viewed 2383 times
Engine Temperature
20251020EngineTemperature.png
20251020EngineTemperature.png (40.35 KiB) Viewed 2383 times
Engine Velocity
20251020EnginePressure.png
20251020EnginePressure.png (16.99 KiB) Viewed 2383 times
Intake Pressure
20251020EnginePressure.png
20251020EnginePressure.png (16.99 KiB) Viewed 2383 times
Intake Temperture:
20251020EngineTemperature.png
20251020EngineTemperature.png (40.35 KiB) Viewed 2383 times
Intake Velocity
20251020EngineVelocity.png
20251020EngineVelocity.png (47.7 KiB) Viewed 2383 times
Attachments
20251020IntakeVelocity.png
20251020IntakeVelocity.png (12.2 KiB) Viewed 2383 times
20251020IntakeTemperature.png
20251020IntakeTemperature.png (11.19 KiB) Viewed 2383 times
20251020IntakePressure.png
20251020IntakePressure.png (10.51 KiB) Viewed 2383 times
tahanson43206
Site Admin
Posts: 598
Joined: Wed Apr 10, 2024 11:24 pm
Location: Earth
Contact:

Re: Images for FluxBB: Equations Image

Post by tahanson43206 »

This image was contributed by GW Johnson
equations.jpg
equations.jpg (88.03 KiB) Viewed 2502 times
Post Reply